Portraits of Dr Asteris Apostolidis

Dr Asteris Apostolidis

Research & Innovation • Aviation & Aerospace • Tech & AI

My mission

I’m a technologist working across physical and digital engineering. My work sits at the intersection of aviation, technology, strategy, and sustainability. I bring technical, managerial, and research expertise from airlines, academia, and aerospace manufacturers, and I’ve led projects spanning aircraft system design, simulation, operations, and maintenance—as well as modelling of aviation processes. I serve on EASA’s Rulemaking Committee on Trustworthy AI (RMT.0742) and lead the Diagnostics & Prognostics Working Group of the Independent Data Consortium for Aviation (IDCA), alongside roles on technical advisory boards, editorial boards, international working groups, and academia as a visiting scholar.

Selected organisations and partners

Focus Areas

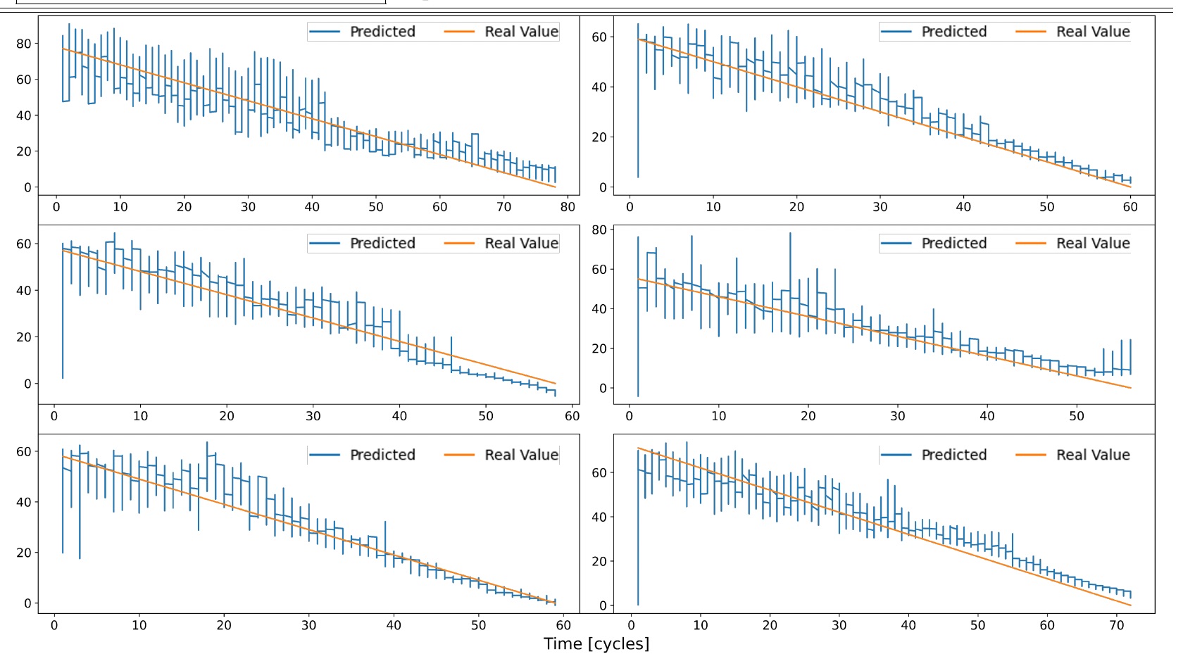
Digital twins and simulation

Simulation & Digital Twins

Simulation of airline operations for decision support, Computational engineering methods.

Trustworthy AI

Trustworthy AI

Explainability, V&V, and Data Management for safe and certifiable applications in aviation.

Condition-based maintenance

Predictive Maintenance

Diagnostics & Prognostics, Workscoping, RUL estimation for reduction of disruptions and waste.

News

Current Professional Appointments

KLM Royal Dutch Airlines

Senior Lead, Technical Innovation & Emerging Technologies

(05/2024–present, Amsterdam, the Netherlands)

  • I lead the Fleet and Emerging Technologies Labs within KLM, exploring the applicability of future technologies.
  • I focus on Simulation & Digital Twins, Optimisation, Data Exchange, Trustworthy AI, and Autonomy for Operations.

Amsterdam University of Applied Sciences

Senior Research Associate; ex-Associate Professor & Lab Lead

(06/2021–present, Amsterdam, the Netherlands)

  • I lead industrial research with partners like Air France-KLM, the Royal Dutch Airforce, MTU Aero Engines.
  • I co-developed Bright Sky (RVO R&D Mobility Fund) and contributed to faculty strategy.

EASA — European Union Aviation Safety Agency

Independent Expert in New & Emerging Technologies; Rulemaking Committee Member

(09/2024–present, Cologne, Germany)

  • I provide technical expertise in several areas around new and emerging technologies in aviation.
  • I participate in the Rulemaking Task RMT.0742, overseeing the regulatory framework for AI in aviation.

See full employment list in my CV →

Education

Industrial & Academic Research Programmes

Selected Publications

Peer-reviewed papers, conference proceedings and book chapters on predictive maintenance, diagnostics & prognostics, trustworthy AI, and gas turbine modelling.

Selected Invited Talks

Selected Awards & Distinctions

Selected Articles

Videos

Portrait of Dr Asteris Apostolidis

About me

I was born and raised in Thessaloniki, Greece, and over the last sixteen years I’ve lived in the UK, Belgium, France, and the Netherlands. Beyond aviation, I’m a lifelong photographer -darkroom to digital- drawn to landscapes, street scenes, aircraft, and the places I travel. Music is a constant companion; I’ve been collecting records and other physical formats for more than three decades. I now live in Amsterdam, where you’ll often find me building LEGO sets with my three children or exploring science exhibitions together.

Contact

Find me on: